來源:時間:2014-11-14
建議檢測指標
Th1/Th2/Th3/Tfh/Th17/Treg相關因子
IFN-γ、IL-2、IL-4、 IL-5、IL-6、IL-7、IL-10/CSIF、IL-12/IL-23 p40、IL-12 p70、IL-13、IL-17A/CTLA-8、IL-17F/ML-1、IL-21、IL-22/IL-TIF、TGF-beta 1、TSLP
檢測目的: 檢測免疫狀態,觀察疾病進程,判斷預后,輔助診斷,藥效評價等。
應用舉例:
藥效評價試驗:
用小鼠的腹腔巨噬細胞,經炎癥激發因子(LPS)誘導建立了巨噬細胞炎癥模型。在該模型中可通過測定被篩選化合物抑制IL-2,IL-4,IL-6,IL-10,IL-17A,TNFα,IFN-γ各細胞藥因子表達的程度來評價化合物的抗炎活性。本試驗所建立的藥物篩選模型是一種靈敏、高效、可靠、適于高通量抗炎藥物篩選的細胞模型。
試驗方法:
1.樣本制備:接種106小鼠巨噬細胞至每孔培養,分為空白組和LPS實驗組; LPS實驗組細胞用LPS刺激24小時后, 分別加入不同濃度(分別為10-5 mg/ml, 10-6mg/ml, 10-7 mg/ml)的1# 和2#號藥物,繼續培養48小時,收集各細胞培養上清15000 RPM,離心10min,取上清-80保存備用。
2. 檢測步驟: 用 Ainplex ?MouseTh1/Th2/Th17 7-plex檢測試劑盒進行檢測。加入45ul 捕獲微球混懸液入96孔板,分別加入標準品和稀釋樣本45ul,室溫避光孵育1h,洗滌后加入25ul生物素偶聯的檢測抗體,室溫避光孵育30min,洗滌后加入25ul鏈霉親和素標記的PE工作液,洗滌后加入 150 ul 洗液,重新懸浮微球。使用流式細胞儀上機檢測。
3. 結果分析:用FCAP Array軟件分析各個因子檢測數據,分析IL-2,IL-4,IL-6,IL-10,IL-17A,TNFα,IFN-γ各因子變化趨勢,篩選炎癥抑制效果理想藥物及其濃度。

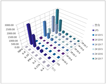
各樣本中不同細胞因子含量結果圖
結論:
1.小鼠巨噬細胞用LPS刺激后IL-2,IL-4,IL-6,IL-10,IL-17A,TNFα,IFN-γ均有一定程度的增高,其中TNF-α,IL-6,IL-10,IFN-γ較為明顯。
2.1#藥物在10-5,10-6濃度時,對各因子均有明顯抑制作用,在10-7濃度時抑制作用明顯降低。
3.2#藥物在10-5濃度時,對各因子均有明顯抑制作用,在10-6濃度時抑制作用明顯降低,10-7濃度沒有抑制作用。
4.總體結果1#藥物效果明顯比2#藥物要好,即抗炎效果更有效。
推薦產品及貨號
PN | Name | Description | Size |
C190010 | Human Th1/Th2 10-plex | IFNgamma, IL-1beta, IL-2, IL-4, IL-5, IL-6, IL-8, IL-10, IL-12p70, TNFalpha | 96 T |
C191107 | Human Th1/Th2/Th17 7-plex | IFN-gamma,IL-10/CSIF,IL-17A/CTLA-8,IL-2,IL-4,IL-6,TNF-alpha | 96 T |
C191114 | HumanTh1/Th2/Th17 14-plex | IFNgamma, IL-1beta, IL-2, IL-4, IL-5, IL-6, IL-8, IL-10, IL-12p70, IL-17A, IL-17F, IL-22, TNFalpha, TNFbeta | 96 T |
C191118 | HumanTh1/Th2/Th1718-plex | GM-CSF, IFNgamma, IL-1beta, IL-2, IL-4, IL-5, IL-6, IL-8, IL-9, IL-10, IL-12p70, IL-17A, IL-17F, IL-22, IL-33, TNFalpha, TNFbeta, TSLP | 96 T |
C281107 | Mouse Th1/Th2/Th17 7-plex | IFN-gamma,IL-10/CSIF,IL-17A/CTLA-8,IL-2,IL-4,IL-6,TNF-alpha | 96 T |
C281114 | MouseTh1/Th2/Th17 14-plex | IFNgamma, IL-1alpha, IL-1beta, IL-2 , IL-4, IL-5, IL-6, IL-10, IL-12p70, IL-13, IL-17A, IL-21, IL-22 and TNFalpha | 96 T |
C281118 | MouseTh1/Th2/Th17 18-plex | GM-CSF, IFNgamma, IL-1alpha, IL-1beta, IL-2 , IL-4, IL-5, IL-6, IL-10, IL-12p70, IL-13, IL-17A, IL-21, IL-22, IL-23, KC, TNFalpha and TSLP | 96 T |
C281116 | MouseTh1/Th2/Th17 16-plex | GM-CSF, IFNgamma, IL-1alpha, IL-1beta, IL-2 , IL-4, IL-5, IL-6, IL-10, IL-12p70, IL-13, IL-17A, IL-21, IL-23, KC, TNFalpha | 96 T |
C371107 | Rat Th1/Th2/Th17 7-plex | IFN-gamma,IL-10/CSIF,IL-17A/CTLA-8,IL-2,IL-4,IL-6,TNF-alpha | 96 T |
參考文獻:
[1]Bettelli E, Carrier Y, Gao W,et a1.Reciprocal developmental pathways for thegeneration of pathogenic effector Th17 and regulatory T cells.Nature,2006,441(7090):235-238.
[2]Chen Z,Lin F,Gao Y,et a1.FOXP3 and RORrt:transcriptional regulation of Treg and Th17.IntImmunopharmacol,2011,11(5):536-542.
[3]Usui T.Transcription factors that regulate helper T celldifferen-tiation.Nihon Rinsho Meneki Gakkai Kaishi,2007,30(6):4l9-427.
[4]Hartmann P,Plum G.Immunological defense mechanisms in tuberculosis andMAC-infection.Diagn Microbiol Dis,1999,34:147-152.
[5]Appelberg R. Protective role of interferon gamma,tumor necrosis factor alphaand interleukin-6 in mycobacterium tuberculosis and M.aviuminfections.Immunobiology,1994,191(4-5):520.
詳細信息請點擊:http://m.zzglfj.com/Home/Tpl/Public/Uploads/attach/5466f11eb7937.pdf